| 일 | 월 | 화 | 수 | 목 | 금 | 토 |
|---|---|---|---|---|---|---|
| 1 | 2 | 3 | 4 | 5 | 6 | 7 |
| 8 | 9 | 10 | 11 | 12 | 13 | 14 |
| 15 | 16 | 17 | 18 | 19 | 20 | 21 |
| 22 | 23 | 24 | 25 | 26 | 27 | 28 |
- 유효질량
- Diffusion Current
- 파동 함수
- Drift Current
- 과잉 캐리어
- 한국나노기술원
- Charge Carriers
- neamen
- Wave Function
- Fermi Energy Level
- Density Of states function
- Energy Band
- Excess Carrier
- 재결합(Recombination)
- 생성(Generation)
- 나노분석평가
- Mobility
- Semiconductor
- 캐리어 농도
- Ambipolar transport equation
- 서울 경찰서 위도/경도
- 페르미 에너지 준위
- 서울 자치구별 경찰서
- Scattering
- 확산 전류
- 에너지밴드
- 반도체공학
- 물리전자
- KANC
- 앰비폴러 전송 방정식
- Today
- Total
읽고 기록하는 삶
[물리전자] 5.3 경사 불순물 분포(Graded Impurity Distribution) 본문
[물리전자] 5.3 경사 불순물 분포(Graded Impurity Distribution)
늦더라도 확실하게 2022. 12. 14. 15:45CHAPTER 5
Carrier Transport Phenomena
들어가며
지금까지 우리는 도핑 농도가 균일(Uniform)하다고 가정하여 문제를 다뤘었는데요.
오늘은 경사 불순물 분포(Graded Impurity Distribution)일 때, 에너지 밴드 다이어그램이 어떻게 형성되는지 알아보겠습니다.
5.3.1 Induced Electric Field
경사 불순물 분포(Graded Impurity Distribution)는 도핑 농도가 균일하지 않은 경우일 때의 캐리어 분포를 의미합니다.
도핑 농도가 균일하지 않은 경우, 확산(Diffusion)에 의해 캐리어가 이동하게 되고, 그에 따라 전기장(E)이 만들어집니다.
즉, 캐리어의 농도차로 인해 확산되고, 확산으로 인해 생성되는 전기장(E)은 확산을 방해하는 방향으로 생성되는 것이죠.
아래의 그림을 보겠습니다.
(대략적인 그림으로, 상대적인 관점에서 생각하면 이해에 도움이 될 것입니다.)

그림과 같이 불순물 분포(Impurity Distribution)가 균일하지 않은 경우, 아래의 5단계에 따라 열평형 상태에 도달합니다.
즉, ①에서의 전자의 농도가 ②에서 상대적으로 높기 때문에, 전자의 확산은 오른쪽으로 진행하는 것으로부터 시작됩니다.
| Step No. | Situation |
| ① | Diffusion of majority carrier electrons from the region of high concentration to the region of low concentration. |
| ② | → Leaves behind positively charged donor ions. |
| ③ | → Separation of positive ions and negative electrons. |
| ④ | → Induce electric field. |
| ⑤ | → prevents any further separation of charge. |
그렇다면, 경사 불순물 분포(Graded Impurity Distribution)에 의한 전기장(Electric Field)은 어떻게 구할 수 있을까요?
먼저, Figure 5.11에 대한 상황을 표현하면 다음과 같습니다.
즉, 전위(Electric potential, Φ)와 전기적 퍼텐셜 에너지(Electron potential energy, E)로 표현하면 다음과 같습니다.

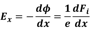
식 (5.37)은 전기장(Electric Field)의 정의에 따라, 다음과 같이 표현됩니다.
즉, 열평형 상태에서 진성 페르미 준위(EFi)가 거리에 따라 변한다면 전기장(E)이 존재한다는 의미입니다.

한편, 도너(Donor) 원자가 충분히 많고, 완전 이온화(Complete Ionization) 된다고 가정하면, 캐리어 농도는 다음과 같습니다.

경사 불순물 분포(Graded Impurity Distribution)에 의한 전기장(E)을 구하고 있으므로, 식을 변형하면 다음과 같습니다.

이제, 자연로그함수와 합성함수에 대한 미분법을 참고하여, 양변에 미분을 하면 다음과 같은 식을 얻습니다.

식 (5.38) 과 식 (5.41)을 활용하여 경사 불순물 분포(Graded Impurity Distribution)에 의한 전기장(E)은 다음과 같습니다.

간단하게 표현하면 아래의 표와 같으며, 이 내용을 바탕으로 추후 Chapter 7. The PN Junction 에서 더 알아보겠습니다.

마치며
오늘은 경사 불순물 분포(Graded Impurity Distribution)일 때, 전기장(E)이 어떻게 만들어지는지 알아보았습니다.
결론은 농도차로 인해 확산되고, 확산으로 인해 생성되는 전기장(E)은 확산을 방해하는 방향으로 생성된다는 것입니다.
다음 글에서는 아인슈타인 관계식(The Einstein Relation)에 대해 알아보겠습니다.
감사합니다.
읽어보면 도움 되는 포스팅
2022.08.26 - [Semiconductor] - [물리전자] 3.1.1 에너지 밴드(Energy Band)의 형성
2022.10.12 - [Semiconductor] - [물리전자] 3.2.1 에너지 밴드와 원자가 결합 이론(The Bond Model)
2022.11.23 - [Semiconductor] - [물리전자] 4.1.4 진성 페르미 준위의 위치 (The Intrinsic Fermi-Level Position)
2022.11.24 - [Semiconductor] - [물리전자] 4.2.2 이온화 에너지 (Ionization Energy)
2022.12.13 - [Semiconductor] - [물리전자] 5.2.1 확산 전류 밀도(Diffusion Current Density)
'Semiconductor > Device Physics' 카테고리의 다른 글
| [물리전자] 5.4 홀 효과(The Hall Effect) (0) | 2022.12.18 |
|---|---|
| [물리전자] 5.3.2 아인슈타인 관계식(The Einstein Relation) (0) | 2022.12.15 |
| [물리전자] 5.2.1 확산 전류 밀도(Diffusion Current Density) (4) | 2022.12.13 |
| [물리전자] 5.1.3 전기전도도 (Conductivity) (0) | 2022.12.10 |
| [물리전자] 5.1.2 캐리어 이동도 (Mobility Effects) (0) | 2022.12.08 |