| 일 | 월 | 화 | 수 | 목 | 금 | 토 |
|---|---|---|---|---|---|---|
| 1 | 2 | |||||
| 3 | 4 | 5 | 6 | 7 | 8 | 9 |
| 10 | 11 | 12 | 13 | 14 | 15 | 16 |
| 17 | 18 | 19 | 20 | 21 | 22 | 23 |
| 24 | 25 | 26 | 27 | 28 | 29 | 30 |
| 31 |
- 파동 함수
- 재결합(Recombination)
- 에너지밴드
- 과잉 캐리어
- 서울 자치구별 경찰서
- Charge Carriers
- Ambipolar transport equation
- 캐리어 농도
- neamen
- 확산 전류
- Excess Carrier
- 페르미 에너지 준위
- 유효질량
- Semiconductor
- 나노분석평가
- 생성(Generation)
- 서울 경찰서 위도/경도
- Diffusion Current
- Energy Band
- Wave Function
- 한국나노기술원
- Density Of states function
- KANC
- 앰비폴러 전송 방정식
- Mobility
- Scattering
- 반도체공학
- 물리전자
- Drift Current
- Fermi Energy Level
- Today
- Total
읽고 기록하는 삶
[물리전자] 5.1.2 캐리어 이동도 (Mobility Effects) 본문
CHAPTER 5
Carrier Transport Phenomena
들어가며
우리는 지난 시간에 표류 전류 밀도를 다루면서 캐리어 이동도(Carrier Mobility)에 대해 간단하게 알아봤는데요.
오늘은 캐리어 이동도(Carrier Mobility)에 대해 더 자세하게 다뤄보겠습니다.
5.1.2 Mobility Effects
지난 글에서 말씀드렸던 것처럼, 스캐터링(Scattering)으로 인한 전하의 운동 특성 변화에 대해 알아보겠습니다.
대표적인 스캐터링(Scattering) 매커니즘에 대해 다시 한번 보고 넘어가겠습니다.
| No. | 대표적인 스캐터링(Scattering) 메커니즘 |
| 1 | Charged particles ↔ ionized impurity atoms |
| 2 | Charged particles ↔ thermally vibrating lattice atoms |
우리는 이전 글에서 외부의 전기장(Electric Field)에 의해 운동하는 정공(hole)에 대해 다음과 같이 표현하였습니다.

이 때, 가속도(a)를 속도(v)에 대한 미분으로 표현하면 다음과 같습니다.

식 (5.10)의 변수 v는 전기장에 의한 정공(hole)의 평균 표류 속도를 의미합니다.
이 때, 유효 질량(mcp*)과 전기장(E)이 시간에 따라 변하지 않는 상수 함수라면, 다음과 같이 표현할 수 있습니다.

식 (5.11)에 의하면 전기장에 의한 정공(hole)의 평균 표류 속도(v)는 시간에 따라 증가하는 것으로 표현되는데요.
정공(hole)이 다른 입자와 충돌하기까지의 평균 시간을 τcp 라고 하면, 식 (5.11)은 다음과 같이 표현할 수 있습니다.
(식 (5.12a)는 통계 모델에 따라 상수배 만큼의 차이가 있을 수 있습니다. 그러나, 식 (5.12a)가 더 정확하다고 알려져 있습니다.)

따라서, 정의에 의해 식 (5.12a)의 괄호 부분이 정공(hole)의 이동도(Mobility)임을 알 수 있습니다.

동일한 방법으로 전자(electron)의 이동도(mobility)를 구하면 다음과 같습니다.

이로써, 우리는 캐리어(Carrier)의 이동도(Mobility)가 캐리어의 유효 질량과 충돌 시간의 함수라는 것을 알았습니다.
즉, 캐리어(Carrier)의 이동도(Mobility)는 유효 질량(m)이 작을수록, 충돌 간 평균 시간(τ)는 클수록 큰 것을 알 수 있습니다.
이 때, 충돌 간 평균 시간(τ)에 대한 변화 요인이 바로 앞서 살펴봤던 스캐터링(Scattering) 입니다.
대표적인 스캐터링(Scattering) 메커니즘 두 가지 경우에 대해 차례대로 알아보겠습니다.
1) Lattice(Phonon) Scattering
절대 온도 (T=0K)가 아닌 경우, 어느 정도의 열에너지에 의해 반도체 결정 내 원자들은 무작위적으로 진동합니다.
무작위로 진동하는 원자(Vibrating lattice atoms)들은 캐리어와 상호작용하여 이동도(Mobility)에 영향을 미칩니다.
당연하게도, 열에너지가 클수록 진동하는 정도도 증가하게 될 것이므로, 이동도(Mobility)는 낮아집니다.
다른 스캐터링(Scattering)의 영향은 없다고 가정하면, Lattice Scattering에 의한 이동도는 아래의 관계식을 가집니다.

아래의 그래프는 온도 변화에 따른 이동도(Mobility)의 변화를 나타낸 것입니다.

정리하면 다음과 같습니다.
| No. | 이동도(Mobility) 관련 파라미터 | 특징 |
| ① |
온도(Temperature) | 일반적으로, 온도와 관계 없이 전자의 이동도가 정공의 이동도보다 큼 (μn > μp) |
| 온도가 증가할수록 캐리어 이동도(Mobility) 감소 | ||
| ② | 도핑 농도(Doping Concentration) | 도핑 농도가 증가할수록 캐리어 이동도(Mobility) 감소 |
| 도핑 농도가 증가할수록 온도 증가에 따른 이동도(Mobility) 감소율 감소 |
2) Ionized impurity Scattering
이번에는 도핑 후, 이온화 된 도핑 원자로 인한 스캐터링(Scattering)에 대해서 알아보겠습니다.
아래 이미지는 이해를 돕기 위한 그림입니다.

이러한 스캐터링(Scattering)은 두 가지 변수에 의해 결정되는데, 그건 바로 도핑 농도와 온도입니다.
반도체 내부의 캐리어(Carrier)는 주변의 이온화 된 원자와의 쿨롱 힘(Coulomb's Force)으로 인해 움직임을 방해 받습니다.
이러한 방해 효과는 도핑(Doping)을 많이 하면 할수록, 완전 이온화(Complete Ionization) 될수록 커집니다.
또한, 온도가 증가함에 따라 캐리어(Carrier)의 속도는 증가하여, 주변으로부터 단위 시간 당 쿨롱 힘을 적게 받게 됩니다.

NI는 이온화 된 도펀트 원자의 수이며,NI = Nd+ + Na- 로 표현됩니다.
아래의 그래프는 도핑 농도에 따른 이동도(Mobility)의 변화를 나타낸 것입니다.
이미 확인했던 것처럼, 도핑 농도가 증가할수록 캐리어의 이동도(Mobility)가 감소하는 것을 확인할 수 있습니다.

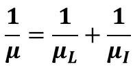
지금까지 다룬 스캐터링(Scattering)이 서로 독립적이라고 가정하면, 이동도(Mobility)는 다음과 같이 표현됩니다.

마치 회로의 병렬 저항을 구하는 것과 구성이 동일한 것을 알 수 있습니다.
즉, 병렬 저항이 추가될수록 합성 저항이 작아지는것처럼, 더 많은 스캐터링을 고려할수록 이동도는 감소하게 됩니다.
(자세한 스캐터링(Scattering) 매커니즘은 링크를 참조바랍니다. https://en.wikipedia.org/wiki/Electron_mobility)
| No. | 스캐터링(Scattering) 매커니즘 |
| 1 | Lattice (phonon) scattering |
| 2 | Ionized impurity scattering |
| 3 | Piezoelectric scattering |
| 4 | Surface roughness scattering |
| 5 | Alloy scattering |
| 6 | Inelastic scattering |
| 7 | Electron–electron scattering |
마치며
오늘은 캐리어 이동도(Carrier Mobility)에 대해 조금 더 자세하게 알아보았습니다.
다음 글에서는 전기전도도(Conductivity)에 대해 알아보겠습니다.
감사합니다.
읽어보면 도움 되는 포스팅
2022.11.24 - [Semiconductor] - [물리전자] 4.2 도펀트 원자와 에너지 준위 (Dopant Atoms and Energy Levels)
2022.11.29 - [Semiconductor] - [물리전자] 4.4.2 완전 이온화(Complete Ionization)와 동결(Freeze-Out)
2022.12.05 - [Semiconductor] - [물리전자] 5.1.1 표류 전류 밀도(Drift Current Density)
'Semiconductor > Device Physics' 카테고리의 다른 글
| [물리전자] 5.2.1 확산 전류 밀도(Diffusion Current Density) (4) | 2022.12.13 |
|---|---|
| [물리전자] 5.1.3 전기전도도 (Conductivity) (0) | 2022.12.10 |
| [물리전자] 5.1.1 표류 전류 밀도(Drift Current Density) (1) | 2022.12.05 |
| [물리전자] 4.6 페르미 에너지 준위의 위치(Position of Fermi Energy Level) (0) | 2022.12.02 |
| [물리전자] 4.5 전하 중성 조건(Charge Neutrality) (0) | 2022.12.01 |