| 일 | 월 | 화 | 수 | 목 | 금 | 토 |
|---|---|---|---|---|---|---|
| 1 | 2 | 3 | 4 | 5 | 6 | 7 |
| 8 | 9 | 10 | 11 | 12 | 13 | 14 |
| 15 | 16 | 17 | 18 | 19 | 20 | 21 |
| 22 | 23 | 24 | 25 | 26 | 27 | 28 |
- 앰비폴러 전송 방정식
- 물리전자
- Mobility
- 에너지밴드
- 반도체공학
- Scattering
- Diffusion Current
- 파동 함수
- 유효질량
- Fermi Energy Level
- Ambipolar transport equation
- Density Of states function
- 캐리어 농도
- Drift Current
- Wave Function
- Semiconductor
- 서울 자치구별 경찰서
- 나노분석평가
- 서울 경찰서 위도/경도
- Charge Carriers
- 생성(Generation)
- 한국나노기술원
- 페르미 에너지 준위
- neamen
- 확산 전류
- Energy Band
- KANC
- 재결합(Recombination)
- Excess Carrier
- 과잉 캐리어
- Today
- Total
읽고 기록하는 삶
[물리전자] 4.2.2 이온화 에너지 (Ionization Energy) 본문
CHAPTER 4
The Semiconductor in Equilibrium
들어가며
오늘은 불순물 반도체(Extrinsic Semiconductor)의 캐리어 농도에 대해 알아보기 전, 이온화 에너지에 대해 알아보겠습니다.
이온화 에너지(Ionization Energy)란?
: 어떤 기체 상태의 원자 1mol에서 전자 1mol을 떼어내는데 필요한 에너지.
즉, 도너(Donor)와 억셉터(Acceptor)를 도핑하였을 때, 얼마큼의 에너지가 있어야 전자 또는 정공을 만들어낼까요?
보어의 원자 모형(Bohr Model)이라고 가정하고, 원자의 이온화 에너지에 대해 수식으로 알아보겠습니다.
4.2.2 Ionization Energy
도펀트(Dopant) 원자의 이온화 에너지(Ionization)를 구하기 위해 필요한 개념은 다음과 같습니다.
① 보어의 원자 모형(Bohr Model)
② 쿨롱힘과 구심력(Coulomb's Force / Centripetal Force)
③ 각운동량의 양자화(Angular Momentum)
④ 역학적 에너지 보존 법칙
보어의 원자 모형이므로, 도펀트(Dopant) 원자를 중심으로 도너(Donor) 이온인 전자가 궤도를 돌고 있다고 가정합니다.
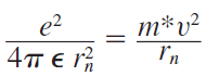
이 때, 쿨롱 힘(전하를 띠는 두 입자 간 작용하는 힘)과 구심력(중심으로 잡아 당기는 힘)은 같으므로 다음과 같습니다.

또한, 각운동량은 양자화 되어있다고 가정하였으므로, 다음과 같은 식이 성립합니다.
(각운동량의 양자화 관련 자세한 내용은 유튜브 영상을 참고바랍니다. https://www.youtube.com/watch?v=QHYJ4VpqAvs)

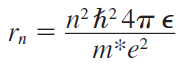
식 (4.27)과 식 (4.28)을 rn에 대해 정리하면 다음과 같이 보어의 원자 모형에 대한 반지름을 구할 수 있습니다.

이 때, 식 (4.29)에서 n=1일 때의 경우 보어 반지름(Bohr Radius)이라고 하며, 계산하면 다음과 같습니다.

이제, 보어 반지름(Bohr Radius) 대비 도너(Donor) 오비탈 반지름은 다음과 같습니다.

식 (4.31)에 아래의 조건값을 대입하면 도핑된 인(P) 원자와 도너(Donor) 전자와의 거리를 대략적으로 알 수 있습니다.
| No. | 파라미터 (Parameter) |
의미(Meaning) | 조건값(Value) |
| 1 | n | 양자수(Quantum Number) | 1 |
| 2 | εr | 상대 유전율(Relative Dielectric Constant) | 11.7 |
| 3 | m* / m0 | 전자의 질량(the rest mass of an electron) 에 대한 전자의 유효 질량(Conductivity Effective mass value) 비(ratio) |
0.26 |
유효 질량에 대한 자세한 내용은 교재의 Appendix F 또는 아래의 링크를 참조 바랍니다.
(https://ocw.snu.ac.kr/sites/default/files/MATERIAL/5680.pdf)

즉, 인(P) 원자를 중심으로 돌고 있는 가장 낮은 에너지 상태의 전자는 중심으로부터 23.9Å 만큼 떨어져 있는 것입니다.

위의 그림이 대략적인 모습을 나타낸 것인데요, 실리콘(Si) 원자의 격자 상수가 5.43Å임을 고려하면,
약 4배 정도 더 멀리 떨어져 있는 것을 의미하는 것이므로 도너 이온의 결합이 더 약할 것이라는 것을 알 수 있습니다.
(가장 낮은 에너지 상태의 경우(n=1)라고 가정했으므로 최소 4배인 것이죠.)
이제 이온화 에너지(Ionization Energy)에 대해 본격적으로 알아보겠습니다.
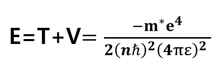
어떤 원자를 돌고 있는 전자의 총 에너지는 운동 에너지(T)와 포텐셜 에너지(V)의 합으로 표현할 수 있습니다.

식 (4.28)을 사용하여 운동에너지를 표현하면 다음과 같습니다.

식 (4.29)를 사용하여 포텐셜 에너지를 표현하면 다음과 같습니다.


식 (4.37)이 일반적으로 이온화 에너지를 구하는 수식이며, 원하는 조건값을 대입하여 구할 수 있습니다.
예를 들어, 수소(H) 원자의 경우는 m*=m0 이며, ε=ε0이므로, E = -13.6eV임을 알 수 있습니다.
동일한 방법으로 실리콘(Si)의 경우는 E=-0.0258eV 임을 확인할 수 있습니다.
도너(Donor) 이온의 이온화 에너지(Ionization Energy)는 조금 더 복잡하지만, 비슷한 방식으로 구할 수 있습니다.
아래의 표는 교재에 있는 표로서, 실험적으로 측정된 이온화 에너지입니다.
Table 4.3을 보시면, 실리콘(Si) 보다 저마늄(Ge)의 경우, 도펀트 이온의 이온화 에너지가 더 작은 것을 확인할 수 있습니다.


마치며
오늘은 이온화 에너지(Ionization Energy)에 대해 수학적으로 알아보았습니다.
다음 글에서는 불순물 반도체(Extrinsic Semiconductor)의 캐리어 농도에 대해 알아보겠습니다.
감사합니다.