| 일 | 월 | 화 | 수 | 목 | 금 | 토 |
|---|---|---|---|---|---|---|
| 1 | 2 | 3 | 4 | 5 | 6 | 7 |
| 8 | 9 | 10 | 11 | 12 | 13 | 14 |
| 15 | 16 | 17 | 18 | 19 | 20 | 21 |
| 22 | 23 | 24 | 25 | 26 | 27 | 28 |
- 확산 전류
- 서울 자치구별 경찰서
- KANC
- 서울 경찰서 위도/경도
- 재결합(Recombination)
- Density Of states function
- Scattering
- 물리전자
- Drift Current
- 나노분석평가
- 생성(Generation)
- Mobility
- Excess Carrier
- 유효질량
- 반도체공학
- 페르미 에너지 준위
- Fermi Energy Level
- 한국나노기술원
- 에너지밴드
- 파동 함수
- 과잉 캐리어
- Wave Function
- Ambipolar transport equation
- Diffusion Current
- neamen
- Charge Carriers
- Semiconductor
- Energy Band
- 앰비폴러 전송 방정식
- 캐리어 농도
- Today
- Total
읽고 기록하는 삶
[물리전자] 6.3.3 앰비폴러 전송 방정식의 응용(Applications of the Ambipolar Transport Equations) 본문
[물리전자] 6.3.3 앰비폴러 전송 방정식의 응용(Applications of the Ambipolar Transport Equations)
늦더라도 확실하게 2023. 1. 19. 18:38CHAPTER 6
Nonequilibrium Excess Carriers in Semiconductors
들어가며
바로 이전 글에서, 우리는 앰비폴러 전송 방정식(Ambipolar Transport Equation)에 대해 아주 자세히 알아보았습니다.
오늘은 교재의 예제를 통해 앰비폴러 전송 방정식(Ambipolar Transport Equation)을 풀어보며 개념을 정리해보겠습니다.
예제를 학습한 이후에는 보다 확실하게 과잉 캐리어(Excess Carrier)의 거동에 대해 이해할 수 있을 것입니다.
관련 내용 한번 더 보고 가겠습니다.

6.3.3 Applications of the Ambipolar Transport Equations
위의 표에서도 볼 수 있듯이, 앰비폴러 전송 방정식(Ambipolar Transport Equation)은 총 5개의 항으로 구성 되어 있습니다.
문제 조건에 따라 각각의 항(①~⑤)의 값이 '0' 이 될 수 있으며, 상황에 따라 중복하여 '0'이 될 수 있습니다.

즉, 위와 같이 반도체의 타입과 주입 조건을 고려하여, 앰비폴러 전송 방정식(Ambipolar Transport Equation)을 기술한 다음,
문제의 조건에 부합하는 일부 항을 '0'으로 없애줌으로써, 미분 방정식의 해를 구하는 것입니다.
앰비폴러 전송 방정식(Ambipolar Transport Equation)을 구성하는 5개의 항이 '0'이 되는 조건은 아래와 같습니다.
위의 그림에서처럼, 순서대로 나타내었습니다.

이제, 본격적으로 예제를 살펴보겠습니다.
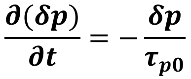
1) Example 6.2
문제의 키워드를 표시하면 아래와 같습니다.

이 문제는 ②, ③, ④ 항만 '0'이 되는 것을 알 수 있습니다.
이를 앰비폴러 전송 방정식(Ambipolar Transport Equation)에 적용하면 아래와 같이 아주 간단한 관계식을 얻을 수 있습니다.

이는 계수가 상수인 1계 제차(homogeneous) 미분방정식이므로, 관련 해법을 적용하여 답을 구하면 다음과 같습니다.

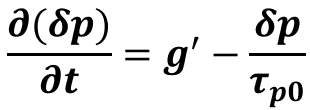
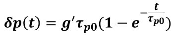
2) Example 6.3
다음 문제를 보겠습니다.

이 문제는 생성률(Generation rate)에 대한 조건이 추가되어 ②, ③ 항만 '0'이 되는 것을 알 수 있습니다.
따라서, 앰비폴러 전송 방정식(Ambipolar Transport Equation)에 적용하면 아래와 같습니다.

이는 계수가 상수인 1계 비제차(homogeneous) 미분방정식이므로, 관련 해법을 적용하여 답을 구하면 다음과 같습니다.

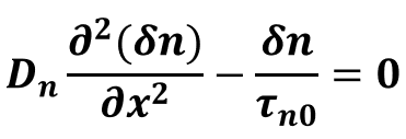
3) Example 6.4
다음 문제를 보겠습니다.
이번 문제는 확산(Diffusion)에 대한 항(term)을 고려해야 하는데요.

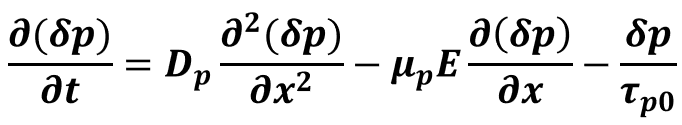
이 문제는 ③, ④ 항만 '0'이 되는 것을 알 수 있습니다.
생성률(Generation rate)이 '0' 이 되는 이유는, x=0 이 아닌 지점에서는 생성률(Generation rate)이 '0'이기 때문입니다.
따라서, 앰비폴러 전송 방정식(Ambipolar Transport Equation)에 적용하면 아래와 같습니다.

최고차항의 계수를 '1'로 만들기 위해 양변을 Dn(Ambipolar Diffusion Coefficient)로 나누면 다음과 같습니다.

이는 상수 계수를 갖는 제 2계 제차 선형 미분방정식이므로, 관련 해법을 적용하여 답을 구하면 다음과 같습니다.

이러한 미분 방정식의 해를 그래프를 통해 나타내면 다음과 같습니다.

p-type 반도체에서, 다수 캐리어(majority carrier)보다 소수 캐리어(minority carrier)의 변화가 급격한 것을 알 수 있습니다.
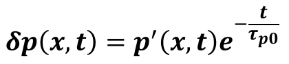
4) Example 6.5
마지막 예제입니다. 지금까지 다룬 문제는, 시간과 공간에 대해 하나의 경우만 고려했었습니다.
이번 예제는 시간과 공간에 대해 모두 고려한 예제입니다.

이 문제는 ④ 항만 '0'이 되는 것을 알 수 있습니다.
따라서, 앰비폴러 전송 방정식(Ambipolar Transport Equation)에 적용하면 아래와 같습니다.

미분 방정식의 해법에는 미분 방정식의 형태를 바탕으로, 해의 형태를 추측해서 해결하는 방법이 있습니다.
이에, 교재에서는 아래와 같은 형태를 갖는다고 가정하여 미분 방정식의 해를 구하였습니다.

즉, 식 (6.66)의 미분 방정식의 해가 식 (6.67)이라고 가정하였으므로, 다시 대입하여 표현하면 아래와 같습니다.
(대입하면, 좌변에서 곱의 미분을 하게 되는데, 그 때 우변의 마지막 항이 제거 됩니다.)

따라서, 교재에서의 설명과 같이 라플라스 변환을 통해 주어진 미분 방정식의 해를 구하면 아래와 같습니다.

굉장히 복잡한 형태의 해를 구하게 되었습니다. 그림으로 보면 훨씬 이해하기 쉬운데요.
결론적으로, 과잉 소수 캐리어인 정공이 전기장(E)과 동일한 방향으로 이동하며 퍼지는 형태의 그래프를 생각하면 됩니다.
주의해야할 점은, 전하 중성 조건(Charge Neutrality Condition)에 의해 과잉 전자도 동일한 방향으로 이동한다는 것입니다.
참고할 만한 교재의 표현을 첨부하며 포스팅을 마치겠습니다.
=================================================================================
the excess electron pulse is moving in the same direction as the applied electric field even though the electrons have a negative charge. In the ambipolar transport process, the excess carriers are characterized by the minority carrier parameters. In this example, the excess carriers behave according to the minority carrier hole parameters, which include Dp, p, and p0. The excess majority carrier electrons are being pulled along by the excess minority carrier holes.
=================================================================================

마치며
오늘은 교재의 예제를 통해 앰비폴러 전송 방정식(Ambipolar Transport Equation)을 풀어보며 개념을 정리해보았습니다.
이러한 개념은 앞으로 다룰 PN 접합(PN Junction)이나, 여러 소자에서도 사용될 예정이니 꼭 이해하시면 좋겠습니다.
다음 글에서는 Haynes-Shockley Experiment에 대해 알아보겠습니다.
감사합니다.
읽어보면 도움 되는 포스팅
2023.01.16 - [Semiconductor] - [물리전자] 6.3 앰비폴러 전송 방정식(Ambipolar Transport Equation)
'Semiconductor > Device Physics' 카테고리의 다른 글
| [물리전자] 6.3.5 헤인즈-쇼클리 실험 (Haynes-Shockley Experiment) (0) | 2023.06.24 |
|---|---|
| [물리전자] 6.3.4 유전 완화 시상수(Dielectric Relaxation Time Constant) (2) | 2023.01.25 |
| [물리전자] 6.3 앰비폴러 전송 방정식(Ambipolar Transport Equation) (0) | 2023.01.16 |
| [물리전자] 6.1.3 연속 방정식(Continuity Equations) (0) | 2023.01.05 |
| [물리전자] 6.1.2 과잉 캐리어의 생성과 재결합(Excess Carrier Generation and Recombination ) (0) | 2022.12.22 |