| 일 | 월 | 화 | 수 | 목 | 금 | 토 |
|---|---|---|---|---|---|---|
| 1 | 2 | |||||
| 3 | 4 | 5 | 6 | 7 | 8 | 9 |
| 10 | 11 | 12 | 13 | 14 | 15 | 16 |
| 17 | 18 | 19 | 20 | 21 | 22 | 23 |
| 24 | 25 | 26 | 27 | 28 | 29 | 30 |
| 31 |
- 확산 전류
- Ambipolar transport equation
- Energy Band
- Semiconductor
- Density Of states function
- 반도체공학
- 재결합(Recombination)
- neamen
- 앰비폴러 전송 방정식
- Diffusion Current
- Scattering
- Mobility
- Fermi Energy Level
- 한국나노기술원
- 파동 함수
- 나노분석평가
- 물리전자
- KANC
- 페르미 에너지 준위
- 서울 자치구별 경찰서
- 에너지밴드
- Excess Carrier
- Charge Carriers
- 과잉 캐리어
- 생성(Generation)
- 서울 경찰서 위도/경도
- 유효질량
- Drift Current
- 캐리어 농도
- Wave Function
- Today
- Total
읽고 기록하는 삶
[물리전자] 6.1.2 과잉 캐리어의 생성과 재결합(Excess Carrier Generation and Recombination ) 본문
[물리전자] 6.1.2 과잉 캐리어의 생성과 재결합(Excess Carrier Generation and Recombination )
늦더라도 확실하게 2022. 12. 22. 15:35
CHAPTER 6
Nonequilibrium Excess Carriers in Semiconductors
들어가며
오늘은 외부 자극에 의해 발생한 과잉 캐리어(Excess Carrier)가 시간에 따라 어떻게 변화하는지 알아보겠습니다.
바로 이전 글의 내용을 요약하면 다음과 같습니다.

6.1.2 Excess Carrier Generation and Recombination
시간 변화에 따른 전자의 농도(Electron Concentration)에 대해 알아보겠습니다.
아래의 그림을 보겠습니다.
반도체에 외부 자극 인가 후, 다시 평형 상태가 될 때까지 전자의 농도가 어떻게 변화하는지에 대한 그래프입니다.
크게 5단계로 나누어 생각해 볼 수 있는데요. 구간별로 차례대로 알아보겠습니다.

구간 ①
외부 자극을 인가 하기전, 열평형 상태인 것을 의미합니다.
이미 학습한 것처럼, 전자와 정공의 생성률(Generation rate) 및 재결합률(Recombination rate)은 동일합니다.
과잉 캐리어(Excess Carrier)는 추가적으로 생성되지 않으므로, 전자의 농도는 n0를 유지합니다.
구간 ②
외부 자극을 인가하여, 과잉 캐리어(Excess Carrier)가 생성(Generation)되기 시작합니다.
초기에는 과잉 캐리어(Excess Carrier)의 생성률(Generation rate)이 재결합률(Recombination rate)보다 큽니다.
결국, 정상 상태(Steady state)가 되면, 생성률과 재결합률이 동일하게 되어 과잉 캐리어는 더 이상 증가하지 않습니다.
구간 ③
아직 외부 자극은 존재하지만, 정상 상태(Steady State)에 도달한 상태인 것을 의미합니다.
과잉 캐리어(Excess Carrier)는 더 이상 증가하지 않는 상태이며, g'n=g'p=R'n=R'p를 만족합니다.
구간 ④
외부 자극을 차단하여, 과잉 캐리어(Excess Carrier)의 생성(Generation)은 없고 재결합(Recombination)만 존재합니다.
즉, 이 구간에서의 생성(Generation)은 Gn0(thermal generation rate)를, 재결합은 Rn(Recombination rate)을 따릅니다.
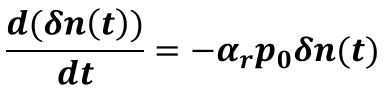
한편, 재결합(Recombination)은 캐리어의 농도와 비례하여 증가하게 되는데, 수식으로 표현하면 다음과 같습니다.

αr은 비례 상수를 의미하며, 재결합은 전자와 정공의 농도의 곱에 비례하는 것을 알 수 있습니다.
구간 ⑤
생성된 모든 과잉 캐리어(Excess Carrier)가 재결합되어 소멸되어 다시 평형 상태(Equilibrium)가 됩니다.
간단하게 정리하면 아래의 표와 같습니다.

이제, 오늘의 주제인, 시간에 따라 전자의 농도가 어떻게 변화하는지 알아보겠습니다.
다른 요소를 제외하고 생성(Generation)과 재결합(Recombination)만 고려하면 전자의 농도 변화는 다음과 같습니다.
(바로 다음 주제인, 연속 방정식 파트에서 확산과 표류에 대해서도 고려할 것입니다.)

이 때, Gn0는 Rn0과 같으므로 다음과 같이 표현할 수 있습니다.

이제, 주어진 모든 조건을 모두 대입하면 다음과 같습니다. (∵ δn=δp)

주어진 미분 방정식을 풀기 위해, p-type semiconductor이고, 저준위주입(Low-level injection)이라 가정하겠습니다.

따라서, 다른 파라미터보다 상대적으로 크기가 작아, 무시할 수 있는 항들을 제거하면 식 (6.9)는 다음과 같이 정리됩니다.

식 (6.10)은 대표적인 제 1계 선형미분방정식이므로, 주어진 식의 해를 구하면 다음과 같습니다.
생성(Generation)된 과잉 캐리어(Excess Carrier)는 지수적으로(Exponentially) 감소하는 것을 알 수 있습니다.

여기서 중요한 개념이 등장하게 되는데요. 바로 과잉 소수 캐리어 수명(Excess minority carrier lifetime, τn0)입니다.
즉, 재결합률(Recombination rate)은 과잉 소수 캐리어의 농도와 수명(lifetime)에 의해 결정되는 것을 알 수 있습니다.

따라서, 지금까지 했던 내용을 요약하면 아래의 표와 같습니다.

마치며
오늘은 외부 자극에 의해 발생한 과잉 캐리어(Excess Carrier)가 시간에 따라 어떻게 변화하는지 알아보았습니다.
다음 글에서는 연속 방정식(Continuity Equation)에 대해 알아보겠습니다.
감사합니다.
읽어보면 도움 되는 포스팅
2022.12.19 - [Semiconductor] - [물리전자] 6.1 캐리어의 생성과 재결합(Carrier Generation and Recombination)
'Semiconductor > Device Physics' 카테고리의 다른 글
| [물리전자] 6.3 앰비폴러 전송 방정식(Ambipolar Transport Equation) (0) | 2023.01.16 |
|---|---|
| [물리전자] 6.1.3 연속 방정식(Continuity Equations) (0) | 2023.01.05 |
| [물리전자] 6.1 캐리어의 생성과 재결합(Carrier Generation and Recombination) (0) | 2022.12.19 |
| [물리전자] 5.4 홀 효과(The Hall Effect) (0) | 2022.12.18 |
| [물리전자] 5.3.2 아인슈타인 관계식(The Einstein Relation) (0) | 2022.12.15 |