| 일 | 월 | 화 | 수 | 목 | 금 | 토 |
|---|---|---|---|---|---|---|
| 1 | 2 | 3 | 4 | 5 | 6 | 7 |
| 8 | 9 | 10 | 11 | 12 | 13 | 14 |
| 15 | 16 | 17 | 18 | 19 | 20 | 21 |
| 22 | 23 | 24 | 25 | 26 | 27 | 28 |
- 페르미 에너지 준위
- Ambipolar transport equation
- Diffusion Current
- 서울 자치구별 경찰서
- 나노분석평가
- Drift Current
- 에너지밴드
- Semiconductor
- Scattering
- Wave Function
- 반도체공학
- 물리전자
- Fermi Energy Level
- neamen
- 서울 경찰서 위도/경도
- Energy Band
- 캐리어 농도
- 유효질량
- 생성(Generation)
- 과잉 캐리어
- 앰비폴러 전송 방정식
- KANC
- 파동 함수
- 한국나노기술원
- Mobility
- Density Of states function
- Excess Carrier
- 확산 전류
- 재결합(Recombination)
- Charge Carriers
- Today
- Total
읽고 기록하는 삶
[물리전자] 2.3.1 자유 공간에서의 전자의 거동(파동방정식 예제1) 본문
CHAPTER 2
Introduction to Quantum Mechanics
2.3 Applications Of Schrodinger's Wave Function
이번 포스트는 여러 Potential Function에 대한 슈뢰딩거의 파동 방정식 예제를 다뤄보겠습니다.
오늘 다룰 내용은 이후 반도체의 특성에 대한 내용을 학습할 때 유용하게 활용될 예정이니 완벽한 이해를 목표로 포스팅하겠습니다.
2.3.1 Electron in Free Space
지난 글의 마지막 부분에서 말씀드렸다시피, 가장 대표적으로 두 가지 경우에 대한 파동 방정식의 예시가 있었습니다.
하나는 모든 위치에서 Potential Function이 유한했고, 나머지 하나는 특정 위치에서 Potential Function이 무한했습니다.
먼저, 전자에 대해 학습해보겠습니다.
자유 공간(free space) 내 존재하는 전자에 어떠한 외력도 없다면, Potential Function V(x)는 상수이며, E > V(x)를 만족합니다.
문제를 간단하게 하기 위해 모든 x에 대해 V(x)=0이라고 가정해보겠습니다. 그렇다면 식(2.13)은 다음과 같이 표현됩니다.

식 (2.19)는 전형적인 계수가 상수인 2차 선형 미분방정식입니다.
따라서, 이러한 미분방정식의 해는 다음과 같이 표현됩니다.

또는,


저희는 예전에 이미 time-dependent wave function에 대한 해를 구한 적이 있습니다. 다음을 보시죠.

따라서, total wave function은 다음과 같습니다.
앞서 학습했듯이, total wave function은 time-independent wave function과 time-dependent wave function의 곱입니다.

이제 미정계수 A, B에 대한 정보만 알아낼 수만 있다면, 자유 공간 상의 모든 위치에서 V(x)=0인 전자에 대한 거동을 알 수 있습니다. 지난 포스트 글에서 다룬 경계 조건(Boundary Condition)을 통해 미정계수 A와 B를 구하도록 하겠습니다.
식 (2.23)에서 첫 번째 항은 +x direction의 wave 정보를 담고 있고, 두 번째 항은 -x direction의 wave 정보를 담고 있습니다.
이번 예제는 +x direction으로 움직이는 전자라고 가정하겠습니다. 따라서, B=0이므로 다음과 같은 식이 성립합니다.

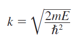
where k is the wave number given by

or

참고로, 식 (2.25)a에서의 2mE=p^2인 이유는 에너지 보존 법칙에 의해서 입니다. (이번 예제에서는 V=0)
또한, 2.1.2에서 다룬 입자-파동 이중성에서, 입자의 파장과 운동량은 반비례함을 통해 다음의 식이 성립함을 학습했습니다.

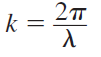
따라서, 식 (2.25a)와 식 (2.26)을 통해 파장은 wave number로 표현할 수 있게 됩니다.

or

이제 미정계수 A만 구하면, 이번 문제의 조건을 만족하는 Total Wave function을 구할 수 있습니다.
미정계수 A는 파동 함수에 대한 확률 밀도 함수의 정의에 의해 언제나 위치와 무관한 상수임을 알 수 있습니다.
즉, well-defined momentum을 가진 자유전자는 어디에서나 동일한 확률로 발견될 수 있음을 의미합니다.
이러한 결과를 통해 하이젠베르크의 불확정성 원리에 대한 내용을 다시 한번 확인할 수 있습니다.
(정확한 momentum을 가진 전자라면, 모든 위치에서 전자가 발견될 확률이 모두 동일하니까요!)
다음 글에서는 두 번째 예시, 무한 전위 우물(The Infinite Potential Well)에 대해 알아보겠습니다.
감사합니다.
'Semiconductor > Device Physics' 카테고리의 다른 글
| [물리전자] 2.3.3 터널링 효과(The Tunneling Effect) (1) | 2022.08.21 |
|---|---|
| [물리전자] 2.3.2 무한 전위 우물에서의 전자의 거동(파동방정식 예제2) (0) | 2022.08.13 |
| [물리전자] 2.2.3 경계 조건 (Boundary Conditions) (0) | 2022.08.12 |
| [물리전자] 2.2.2 파동 함수의 물리적 의미(Physical Meaning of the Wave Function) (0) | 2022.08.07 |
| [물리전자] 2.2 슈뢰딩거의 파동 방정식(Schrodinger's Wave Equation) (0) | 2022.07.27 |