| 일 | 월 | 화 | 수 | 목 | 금 | 토 |
|---|---|---|---|---|---|---|
| 1 | 2 | 3 | 4 | 5 | 6 | 7 |
| 8 | 9 | 10 | 11 | 12 | 13 | 14 |
| 15 | 16 | 17 | 18 | 19 | 20 | 21 |
| 22 | 23 | 24 | 25 | 26 | 27 | 28 |
- Diffusion Current
- Charge Carriers
- Mobility
- 서울 경찰서 위도/경도
- Wave Function
- Density Of states function
- 생성(Generation)
- 캐리어 농도
- 확산 전류
- Scattering
- neamen
- Drift Current
- Semiconductor
- 재결합(Recombination)
- Excess Carrier
- 한국나노기술원
- 서울 자치구별 경찰서
- 페르미 에너지 준위
- KANC
- 파동 함수
- 반도체공학
- 과잉 캐리어
- 앰비폴러 전송 방정식
- 유효질량
- 나노분석평가
- Fermi Energy Level
- Energy Band
- 물리전자
- 에너지밴드
- Ambipolar transport equation
- Today
- Total
읽고 기록하는 삶
[물리전자] 2.2 슈뢰딩거의 파동 방정식(Schrodinger's Wave Equation) 본문
[물리전자] 2.2 슈뢰딩거의 파동 방정식(Schrodinger's Wave Equation)
늦더라도 확실하게 2022. 7. 27. 04:14
CHAPTER 2
Introduction to Quantum Mechanics
2.2 SCHRODINGER'S WAVE EQAUTION
이번 포스트는 슈뢰딩거 방정식에 대해서 알아보겠습니다.
역사적으로, 전자파(electromagnetic waves)와 입자(particles)에 대한 다양한 실험 결과들에 대해 고전역학으로 설명되지 않아 발전된 역학의 필요성이 대두되었습니다. 이에, 1926년 슈뢰딩거는 'wave mechanics'라는 개념에 대해 주창하였습니다. 이 개념은 플랑크에 의해 소개된 양자 개념과 드브로이에 의해 소개된 입자-파동의 쌍대성(Duality)의 개념을 모두 포함하고 있습니다. 입자-파동의 쌍대성에 대한 원리는 파동 이론에 의해 기술될 수 있으며, 이러한 파동 이론은 슈뢰딩거 방정식으로서 표현됩니다. 아래를 보시죠.
2.2.1 The Wave Equation
1차원 상에서, 슈뢰딩거 방정식은 다음과 같이 표현됩니다.

Ψ(x,t) : Wave function, V(x) : Potential function, m : Mass of the particle, j : Imaginary constant
일반적으로 파동 함수 Ψ(x,t)는 공간과 시간에 대한 변수를 갖는 함수입니다.
지금부터 파동 함수 Ψ(x,t)에 대해서 한 가지 가정을 하고 논리를 전개해 나가겠습니다.
바로, 파동 함수 Ψ(x,t)가 time-dependent portion과 time-independent portion에 대하여 각각의 곱으로 표현된다는 것입니다.
이러한 접근 방법을 Separation of Variables이라고 합니다.

ψ(x) : a funtion of the position x only, Φ(t) : a function of time t only
이를 바탕으로, 다시 식 (2.6)에 대입하여 가장 간단한 형태의 식으로 표현하면 다음과 같습니다.

한 가지 가정을 하여 식을 새롭게 전개하여 정리한 결과, 위와 같은 형태로 표현되었습니다.
좌항의 경우, 오직 위치 x에 대한 함수로 구성되어 있으며, 우항의 경우, 오직 시간 t에 대한 함수로 구성되어 있는 것을 확인할 수 있습니다
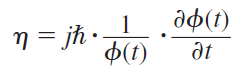
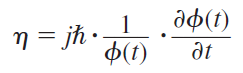
이 때, 좌항을 상수 η(eta)로 표현하면 다음과 같습니다.

η : a separation constant
위와 같은 꼴은 미분방정식의 가장 간단한 경우로서, 그 해를 구하면 다음과 같습니다. (제1계 상미분방정식 참고)

위의 식은 Sinusoidal wave 형태의 가장 기본적인 형태라고 할 수 있습니다.
이제, 다음과 같은 두 가지 관계식을 통해 E= η임을 알 수 있습니다.
① E = hv = hω/2pi (by energy quanta)
② ω = η/hbar ( by equation(2.11) )
결론적으로, 식 (2.9)는 다음과 같이 표현됩니다.

즉, 앞서 정의했던 separation constant η는 입자가 가진 총 에너지(Total energy of the Particle)인 것입니다.
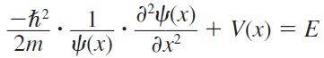
이제 마지막으로, 식 (2.12)를 동차 제2계 미분방정식으로 표현하면 다음과 같습니다.
이것이 Time-independent Schrodinger's wave equation 이며, 앞으로 이 식을 기반으로 예제를 풀어보겠습니다.

다음 글에서는 파동 함수의 물리적인 의미에 대해 알아보도록 하겠습니다.
긴 글 읽어주셔서 진심으로 감사드립니다.
'Semiconductor > Device Physics' 카테고리의 다른 글
| [물리전자] 2.2.3 경계 조건 (Boundary Conditions) (0) | 2022.08.12 |
|---|---|
| [물리전자] 2.2.2 파동 함수의 물리적 의미(Physical Meaning of the Wave Function) (0) | 2022.08.07 |
| [물리전자] 2.1.3 양자역학의 기본 개념(The Uncertainty Principle) (0) | 2022.07.27 |
| [물리전자] 2.1.2 양자역학의 기본 개념(Wave-Particle Duality) (0) | 2021.04.01 |
| [물리전자] 2.1.1 양자역학의 기본 개념(Energy Quanta) (0) | 2021.03.26 |