| 일 | 월 | 화 | 수 | 목 | 금 | 토 |
|---|---|---|---|---|---|---|
| 1 | 2 | 3 | 4 | 5 | 6 | 7 |
| 8 | 9 | 10 | 11 | 12 | 13 | 14 |
| 15 | 16 | 17 | 18 | 19 | 20 | 21 |
| 22 | 23 | 24 | 25 | 26 | 27 | 28 |
- 앰비폴러 전송 방정식
- Diffusion Current
- 서울 자치구별 경찰서
- 파동 함수
- Excess Carrier
- Energy Band
- 캐리어 농도
- 에너지밴드
- 과잉 캐리어
- Drift Current
- 물리전자
- 유효질량
- Ambipolar transport equation
- 한국나노기술원
- Charge Carriers
- Semiconductor
- 확산 전류
- Fermi Energy Level
- 반도체공학
- 나노분석평가
- Mobility
- neamen
- Wave Function
- KANC
- 생성(Generation)
- 페르미 에너지 준위
- Scattering
- 재결합(Recombination)
- 서울 경찰서 위도/경도
- Density Of states function
- Today
- Total
읽고 기록하는 삶
[물리전자] 2.3.2 무한 전위 우물에서의 전자의 거동(파동방정식 예제2) 본문
[물리전자] 2.3.2 무한 전위 우물에서의 전자의 거동(파동방정식 예제2)
늦더라도 확실하게 2022. 8. 13. 22:23
CHAPTER 2
Introduction to Quantum Mechanics
2.3.2 The Infinite Potential Well
지난 포스트에선 모든 위치에서 Potential Function이 유한한 경우에 대해 살펴보았습니다.
오늘은 특정 위치에서 Potential Function이 무한한 경우에 대해 알아보겠습니다. 다음 그림을 보시죠.

Figure 2.6에서 볼 수 있듯이, RegionⅠ과 RegionⅢ에서 Potential Function이 무한합니다.
이 때, 입자는 RegionⅡ에 있다고 가정하겠습니다.
즉, 유한한 공간 내 입자가 구속되어 있는 문제에 대해 생각해보겠다는 것입니다.
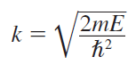
저희는 이전 포스트를 통해 슈뢰딩거의 파동 방정식이 다음과 같은 것을 알고 있습니다.

이 때, 입자가 가진 총 에너지가 유한하다면 위의 식을 만족하기 위해서는 파동 함수는 반드시 0 이어야 합니다.
RegionⅡ에 존재하는 입자는 무한 전위 장벽을 절대 넘을 수 없으므로 RegionⅠ,RegionⅢ에서 입자가 발견될 확률은 0 입니다.
이제 RegionⅡ에 존재하는 입자의 거동에 대해 살펴보겠습니다.
주어진 조건에 의해 RegionⅡ의 V(x)=0이므로, 식 (2.13)을 정리하면 다음과 같습니다.

위의 미분 방정식은 저번에도 다뤘듯이, 계수가 상수인 제 2계 선형 동차 미분 방정식이므로 일반해는 다음과 같습니다.

where

이제, 미정 계수 A1과 A2에 대한 정보만 알아낸다면, ψ(x)를 정확히 알 수 있습니다.
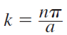
이 문제에서 경계 조건을 살펴보겠습니다.
Figure 2.6을 보면 알 수 있듯이, ψ(x=0)=ψ(x=a)=0임을 알 수 있습니다.따라서, A1 = 0, A2 ≠ 0, k=n*pi/a 입니다.
(A2 = 0 이면, RegionⅡ에서도 입자가 존재하지 않는 것이라 가정에 위배)
이 때, n을 Quantum number라 하며, 양의 정수의 값만을 고려하도록 하겠습니다.
(교재 표현 : Because of this redundancy, negative values of n are not considered.)

그렇다면, A2는 어떻게 구할 수 있을까요?
이것 또한 지난 포스트에서 다뤘었는데요, 바로 확률 밀도 함수에 대한 성질을 활용하면 됩니다.

따라서, 다음과 같습니다.

결과적으로, 이 문제에 대한 Time-independent wave function은 다음과 같습니다.

즉, 무한 전위 우물 내에 존재하는 입자는 정상파(Standing Wave)의 거동을 하는 것을 알 수 있습니다.
한편, 식 (2.30)과 식 (2.34)의 관계를 통해 입자가 가진 Total Energy를 알 수 있습니다.

따라서, 식 (2.36)은 다음과 같이 표현되며, 이를 통해 입자의 에너지는 양자화(quantization) 되어있다는 것을 알 수 있습니다.

즉, 입자의 에너지는 연속적이지 않고, 이산적인 특정 값만 갖는 다는 것을 의미합니다.
다음 사진을 통해 시각적으로 이해하며 이번 포스트를 마치겠습니다.

Figure 2.7a를 통해 무한 전위 우물 내의 입자의 에너지가 양자화 되어있는 것을 알 수 있고,
Figure 2.7b,c를 통해 해당 양자수(quantum number)에 대한 파동 함수 및 확률 밀도 함수를 알 수 있습니다.
에너지가 증가할 수록 임의의 위치 x에서 전자가 발견될 확률이 점점 Uniform 하게 되는 것을 확인할 수 있습니다.
다음 포스트에서는 터널링(Tunneling)에 대해 알아보겠습니다.
감사합니다!
'Semiconductor > Device Physics' 카테고리의 다른 글
| [물리전자] 3.1.1 에너지 밴드(Energy Band)의 형성 (2) | 2022.08.26 |
|---|---|
| [물리전자] 2.3.3 터널링 효과(The Tunneling Effect) (1) | 2022.08.21 |
| [물리전자] 2.3.1 자유 공간에서의 전자의 거동(파동방정식 예제1) (0) | 2022.08.12 |
| [물리전자] 2.2.3 경계 조건 (Boundary Conditions) (0) | 2022.08.12 |
| [물리전자] 2.2.2 파동 함수의 물리적 의미(Physical Meaning of the Wave Function) (0) | 2022.08.07 |