| 일 | 월 | 화 | 수 | 목 | 금 | 토 |
|---|---|---|---|---|---|---|
| 1 | 2 | 3 | 4 | 5 | 6 | 7 |
| 8 | 9 | 10 | 11 | 12 | 13 | 14 |
| 15 | 16 | 17 | 18 | 19 | 20 | 21 |
| 22 | 23 | 24 | 25 | 26 | 27 | 28 |
- 유효질량
- 페르미 에너지 준위
- 캐리어 농도
- Excess Carrier
- 반도체공학
- 확산 전류
- 나노분석평가
- Scattering
- Semiconductor
- Mobility
- 서울 자치구별 경찰서
- Fermi Energy Level
- 재결합(Recombination)
- Wave Function
- neamen
- 물리전자
- Energy Band
- 과잉 캐리어
- Diffusion Current
- 앰비폴러 전송 방정식
- Drift Current
- Ambipolar transport equation
- 생성(Generation)
- Charge Carriers
- 한국나노기술원
- KANC
- 에너지밴드
- 서울 경찰서 위도/경도
- Density Of states function
- 파동 함수
- Today
- Total
읽고 기록하는 삶
[물리전자] 3.2.2 표류 전류(Drift Current) 본문
CHAPTER 3
Introduction to The Quantum Theory of Solids
3.2.2 Drift Current
지난 글에서는 외부 에너지를 받아 가전자대(Valence Band)에서 전도대(Conduction Band)로 여기된 전자에 대해 표현해봤습니다. 오늘은 그러한 전자의 움직임으로 인해 발생하는 전류(Current)에 대해 알아보겠습니다.
(Chapter 5에서 전자의 이동 메커니즘에 따라 표류 전류(Drift Current)와 확산 전류(Diffusion Current)로 분류해 포스팅하겠습니다. 교재의 목차대로 구성한 것이오니, 표류 전류(Drift Current)에 대해 자세한 내용은 Chapter 5.1.1 참조 부탁드립니다.)
전류(Current)란 무엇일까요?
전류(Current)는 전하의 순 이동량(Net Flow of Charge)으로 정의합니다.
만약, 여러 (+)전하들의 체적 밀도(volume density)를 N(cm-3), 평균 표류 속도(Average Drift Velocity)를 vd(cm/s)라고 한다면, 표류 전류 밀도(Drift Current Density)는 다음과 같이 정의할 수 있습니다.

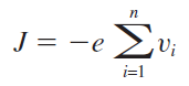
여러 (+)전하들에 대한 평균 표류 속도 대신, 각각의 (+)전하들에 대한 개별 속도를 고려한다면 다음과 같이 표현할 수 있습니다.

전자도 마찬가지로 (-)전하이기 때문에, 전도대(Conduction)내 전하들의 이동은 전류를 만들어 낼 것입니다.
전도대(Conduction) 내의 전하 분포는 외부에서 가해지는 힘이 없다는 가정하에, 다음과 같이 표현할 수 있습니다. (Figure 3.14b)


만약, 이동하는 전하에 대해 외력(F)이 가해지면 어떻게 될까요?
당연하게도 외력의 에너지를 얻어 전자의 에너지가 증가하게 됩니다.

즉, 외력(F)에 의해 에너지를 얻은 전자들은 E(Energy)와 K(Momentum) 모두 증가해 위의 Figure 3.15처럼 분포하게 됩니다.
앞서 언급드렸던 식 (3.33)을 전자의 관점으로 다시 표현하면 다음과 같습니다.

결론적으로, 전류는 전하의 이동 속도와 유관하며, Crystal 내 전하가 잘 이동할수록 전류가 더 잘 흐를 수 있음을 의미합니다.
다음 글에서는 전자의 유효 질량(Electron Effective Mass)에 대해 알아보겠습니다.
감사합니다.
'Semiconductor > Device Physics' 카테고리의 다른 글
| [물리전자] 3.2.4 정공(Hole)의 개념(Concept of the Hole) (0) | 2022.10.28 |
|---|---|
| [물리전자] 3.2.3 전자의 유효 질량(Electron Effective Mass) (2) | 2022.10.24 |
| [물리전자] 3.2.1 에너지 밴드와 원자가 결합 이론(The Bond Model) (0) | 2022.10.12 |
| [물리전자] 3.1.1 에너지 밴드(Energy Band)의 형성 (2) | 2022.08.26 |
| [물리전자] 2.3.3 터널링 효과(The Tunneling Effect) (1) | 2022.08.21 |