| 일 | 월 | 화 | 수 | 목 | 금 | 토 |
|---|---|---|---|---|---|---|
| 1 | 2 | 3 | 4 | 5 | 6 | 7 |
| 8 | 9 | 10 | 11 | 12 | 13 | 14 |
| 15 | 16 | 17 | 18 | 19 | 20 | 21 |
| 22 | 23 | 24 | 25 | 26 | 27 | 28 |
- 파동 함수
- 앰비폴러 전송 방정식
- Ambipolar transport equation
- 에너지밴드
- 한국나노기술원
- 나노분석평가
- Diffusion Current
- Semiconductor
- 페르미 에너지 준위
- 생성(Generation)
- 물리전자
- Energy Band
- 유효질량
- Drift Current
- 캐리어 농도
- 확산 전류
- KANC
- 반도체공학
- Density Of states function
- Mobility
- Fermi Energy Level
- neamen
- Excess Carrier
- 과잉 캐리어
- 서울 자치구별 경찰서
- Charge Carriers
- 서울 경찰서 위도/경도
- Scattering
- Wave Function
- 재결합(Recombination)
- Today
- Total
읽고 기록하는 삶
[물리전자] 1.3.2 기본 크리스탈 구조 본문
1.3 Space Lattices
1.3.2 Basic Crystal Structures
앞에서, Unit cell과 Primitive cell, lattice, lattice point, lattice constant에 대해서 정의하였습니다.
이번엔 앞서 정의했던 것을 바탕으로, 대표적인 4가지 Crystal Structure에 대해 살펴보겠습니다.

(a)는 단순 입방체(Simple Cubic), (b)는 체심 입방체(Body-Centered Cubic), (c)는 면심 입방체(Face-Centered Cubic)이라고 합니다. 줄여서 SC, BCC, FCC라고 부릅니다. 나머지 한 가지 경우는 다이아몬드 구조의 경우인데, 이는 1.4절에서 다루도록 하겠습니다.
이와 같이, 어떤 물질의 크리스탈 구조와 격자(lattice)의 차원을 앎으로써 각각의 크리스탈에 대해 몇 가지 parameter를 정의할 수 있습니다.
먼저 관련된 표를 보고 가겠습니다.
|
|
단순 입방체(SC) |
체심 입방체(BCC) |
면심 입방체(FCC) |
다이아몬드 구조 |
|
부피(Volume) |
a^3 |
a^3 |
a^3 |
a^3 |
|
격자점(Lattice Point) |
8 |
9 |
14 |
18 |
|
셀 당 격자점 수 (Atom# / cell) |
1 |
2 |
4 |
8 |
|
부피 밀도 (Volume density) |
1 / a^3 |
2 / a^3 |
4 / a^3 |
8 / a^3 |
|
원시 셀 부피 (Volume of Primitive cell) |
a^3 |
a^3 / 2 |
a^3 / 4 |
a^3 / 8 |
|
최근접 격자점 수 (nearest neighbor) |
6 |
8 |
12 |
4 |
|
최근접 격자점 사이의 거리 |
a |
(√3/2)a |
(√2/2)a |
(√3/4)a |
|
각 구체의 반지름 (Radius of each sphere) |
a/2 |
(√3/4)a |
(√2/4)a |
(√3/8)a |
|
충진율(Packing factor) |
0.524 |
0.680 |
0.740 |
0.34 |
정말 많은 parameter들이 있는 것을 확인해볼 수 있습니다. 직접 생각해보고 계산해보면, 외우지 않고도 쉽게 도출해 낼 수 있습니다. 이제 lattice constant를 a라고 가정하고, 각각에 대한 paramter들을 설명드리겠습니다.
ⅰ) 부피(Volume) - Unit cell의 Volume을 의미합니다.
ⅱ) 격자점(Lattice Point) - 원자를 의미합니다. (셀 당 격자점과 차이를 이해하셔야 합니다.)
ⅲ) 셀 당 격자점 수 (Atom# / cell) - 전체의 구조는 무수히 많은 unit cell들로 이루어져 있습니다.
따라서, 셀 당 격자점 수를 정의함으로써, 전체 원자의 개수를 계산할 수 있습니다.
ⅳ) 부피 밀도(Volume density) - 단위 부피 당 원자의 개수를 의미합니다. 이때 원자의 개수는 셀 당 격자점 수로 계산합니다.
ⅴ) 원시 셀 부피(Volume of Primitive cell) - Unit cell의 Volume을 셀 당 격자점 수로 나눈 것을 의미합니다.
ⅵ) 최근접 격자점 수(nearest neighbor) - 어떤 한 격자점에 대하여 가장 가까운 격자점의 수를 의미합니다.
ⅶ) 최근접 격자점 사이의 거리 - 어떤 한 격자점에 대하여 가장 가까운 격자점의 거리를 의미합니다.
ⅷ)각 구체의 반지름(Radius of each sphere)
먼저 다음과 같은 그림을 보겠습니다.

이 그림은 단순 입방체, 체심 입방체, 면심 입방체에 각각에 대한 하나의 unit cell을 나타낸 것입니다.
단순 입방체를 보면, 각 꼭짓점에 대한 격자점들이 모두 온전한 격자점의 1/8씩만 남게 되어 하나의 unit cell을 이루고 있습니다.
체심 입방체는 단순 입방체 구조에 추가적으로 중심에 하나의 온전한 격자점을 가지며 하나의 unit cell을 이루고 있습니다.
면순 입방체는 단순 입방체 구조에 추가적으로 각 면에 대한 격자점들이 모두 온전한 격자점의 1/2씩만 가지며 unit cell을 이룹니다.
이렇게 생각함으로써, 전체 구조를 생각할 때 중복되는 부분을 제거할 수 있습니다. 이게 앞서 셀 당 격자점 수를 정의한 이유입니다.
그렇다면 각 구체의 반지름은 무엇일까요? 그건 바로 격자점들의 반지름을 Lattice constant로 나타낸 것을 의미합니다.
이제 각 구체의 반지름을 r, Lattice constant가 a라고 가정하겠습니다.
단순 입방체는 2r = a, 체심 입방체는 4r = sqrt(3)*a, 면심 입방체는 4r=sqrt(2)*a입니다.
이때 각 구체들은 서로 접하고 있다고 가정합니다. 아래의 그림은 각각의 유형에 대한 그림입니다.

스스로 한번 해보시고, 질문 주시면 답변드리겠습니다.
ⅸ) 충진율(Packing factor)
충진율은 단위 부피 셀에 격자점들이 어느 정도의 부피를 차지하고 있는지에 대한 비율입니다.
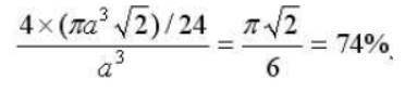
FCC를 예를 들어 설명해보겠습니다. 이번에도 lattice constant가 a라고 가정하겠습니다.
셀 당 격자점 수는 4개이고, 각 구체의 반지름은 (sqrt(2)/4)*a, 부피는 a^3입니다.
이제 충진율을 구해보면, 다음과 같습니다.

다음 글에서는 Crystal의 표면을 표현하기 위한 간단한 수학적인 방법에 대하여 알아보겠습니다.
감사합니다.
'Semiconductor > Device Physics' 카테고리의 다른 글
| [물리전자] 1.4 다이아몬드 구조 (0) | 2020.05.19 |
|---|---|
| [물리전자] 1.3.3 크리스탈 평면과 밀러지수 (0) | 2020.05.13 |
| [물리전자] 1.3 공간 격자(Space Lattices) (0) | 2020.05.02 |
| [물리전자] 1.2 고체의 유형(Types of Solids) (0) | 2020.04.30 |
| [물리전자] 1.1 반도체 물질(Seiconductor Materials) (0) | 2020.04.29 |