| 일 | 월 | 화 | 수 | 목 | 금 | 토 |
|---|---|---|---|---|---|---|
| 1 | 2 | 3 | 4 | 5 | 6 | 7 |
| 8 | 9 | 10 | 11 | 12 | 13 | 14 |
| 15 | 16 | 17 | 18 | 19 | 20 | 21 |
| 22 | 23 | 24 | 25 | 26 | 27 | 28 |
- 앰비폴러 전송 방정식
- Drift Current
- neamen
- Semiconductor
- Energy Band
- 유효질량
- 물리전자
- Scattering
- 과잉 캐리어
- 나노분석평가
- 서울 경찰서 위도/경도
- 확산 전류
- Excess Carrier
- Fermi Energy Level
- 반도체공학
- 한국나노기술원
- 페르미 에너지 준위
- Ambipolar transport equation
- Density Of states function
- 재결합(Recombination)
- 캐리어 농도
- 생성(Generation)
- Mobility
- KANC
- 서울 자치구별 경찰서
- 에너지밴드
- Diffusion Current
- 파동 함수
- Wave Function
- Charge Carriers
- Today
- Total
읽고 기록하는 삶
[물리전자] 1.3.3 크리스탈 평면과 밀러지수 본문
1.3 Space Lattices
1.3.3 Crystal Planes and Miller Indices
실제 크리스탈을 사용할 때 크리스탈을 여러 목적에 맞게 잘라서 사용합니다.
이 과정에서 표면은 필연적으로 발생할 수밖에 없습니다.
반도체 디바이스는 그러한 표면에 또는 표면 근처에서 공정이 이루어지기 때문에,
표면의 특성이 디바이스에 직접적으로 영향을 줍니다.
따라서 표면을 잘 만들어야 성능이 좋은 반도체 디바이스를 만들 수 있습니다.
그렇다면 먼저 표면에 대해 표현을 할 수 있어야겠죠?
오늘은 그 방법에 대해 간단하게 알아보겠습니다.
예제를 통해서 설명드리겠습니다.

Figure 1.6을 보면, 어떤 평면이 표현되어 있습니다.
앞서 살펴봤던 lattice와 lattice point들이 표현되어 있는 걸 볼 수 있습니다.
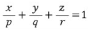
1.3.1에서 3차원 상에서의 unit cell을 다음과 같이 표현한다고 다룬 적 있습니다.

이 예제에서 p=3, q=2, s=1임을 알 수 있습니다. 이를 모두 각각 역수를 취해주면 다음과 같습니다.

그리고 분모의 숫자들에 대한 최소공배수를 곱해주면, (2, 3, 6)을 얻을 수 있습니다.
이제 이를 활용하여 Figure1.6의 표면을 (236) plane이라고 하며, 각각의 정수들을 Miller indices(밀러 지수)라고 합니다.
사실 이러한 과정은 수학에서 법선벡터를 구하는 방법과 동일합니다.
3차원 공간에서 어떤 평면의 x, y, z 절편을 알면 다음과 같은 평면의 방정식을 만들 수 있습니다.

그리고 법선벡터는 다음과 같습니다.

그러니까 결론적으로, 크리스탈의 표면에 대한 법선벡터를 가장 간단한 정수비로 표현한 것이 바로 (hkl) plane 인 겁니다.
다른 예제를 통해 더 연습해보겠습니다.

(a) p=1, q=∞,s=∞임을 확인할 수 있습니다. 따라서, 이 평면은 (100) plane으로 정의되며, 밀러 지수는 (1,0,0)입니다.
(b) p=1, q=1, s=∞임을 확인할 수 있습니다. 따라서, 이 평면은 (110) plane으로 정의되며, 밀러 지수는 (1,1,0)입니다.
(c) p=1, q=1, s=1 임을 확인할 수 있습니다. 따라서, 이 평면은 (111) plane으로 정의되며, 밀러 지수는 (1,1,1)입니다.
몇 가지 알고 가야 될 점들이 있습니다.
1. (a)와 (b)에서 보이는 무한대의 의미는 그 방향으로 잘리는 부분이 없다는 것을 의미합니다.
2. 평면과 평행한 모든 평면은 같은 평면으로 간주합니다. (lattice constant 간격일 때)
3. 밀러 지수는 무한대로 표현하지 않습니다.
만약에 원점 지나는 평면이 있다고 가정하면, 밀러 지수가 무한대로 표현될 텐데
그러한 경우 적절히 원점을 이동하여, 그 원점에 맞게 평면을 재정의하여 밀러 지수를 표현합니다.
마지막으로 평면의 방향에 대해 알아보겠습니다. 정말 간단하게 설명이 됩니다.
앞서 법선벡터를 이용해 설명한 부분을 떠올려보세요. (hkl) plane 은 [hkl] direction을 갖는다는 것을 쉽게 알 수 있습니다.
다음 글에서는 다이아몬드 구조에 대해서 자세히 알아보겠습니다.
감사합니다.
'Semiconductor > Device Physics' 카테고리의 다른 글
| [물리전자] 1.6 고체의 불완전성(Imperfection)과 불순물(Impurity) (0) | 2020.05.26 |
|---|---|
| [물리전자] 1.4 다이아몬드 구조 (0) | 2020.05.19 |
| [물리전자] 1.3.2 기본 크리스탈 구조 (4) | 2020.05.05 |
| [물리전자] 1.3 공간 격자(Space Lattices) (0) | 2020.05.02 |
| [물리전자] 1.2 고체의 유형(Types of Solids) (0) | 2020.04.30 |