Notice
Recent Posts
Recent Comments
Link
| 일 | 월 | 화 | 수 | 목 | 금 | 토 |
|---|---|---|---|---|---|---|
| 1 | 2 | 3 | 4 | 5 | 6 | 7 |
| 8 | 9 | 10 | 11 | 12 | 13 | 14 |
| 15 | 16 | 17 | 18 | 19 | 20 | 21 |
| 22 | 23 | 24 | 25 | 26 | 27 | 28 |
Tags
- Drift Current
- 한국나노기술원
- 생성(Generation)
- 반도체공학
- 확산 전류
- Diffusion Current
- Scattering
- 과잉 캐리어
- 서울 자치구별 경찰서
- Semiconductor
- 앰비폴러 전송 방정식
- Density Of states function
- 재결합(Recombination)
- Mobility
- 캐리어 농도
- Fermi Energy Level
- 유효질량
- Energy Band
- 나노분석평가
- 물리전자
- Excess Carrier
- Charge Carriers
- 페르미 에너지 준위
- Ambipolar transport equation
- 에너지밴드
- 서울 경찰서 위도/경도
- 파동 함수
- neamen
- KANC
- Wave Function
Archives
- Today
- Total
읽고 기록하는 삶
[물리전자] 3.4.2 상태 밀도 함수(Density Of States Function) Ⅱ 본문
Semiconductor/Device Physics
[물리전자] 3.4.2 상태 밀도 함수(Density Of States Function) Ⅱ
늦더라도 확실하게 2022. 11. 8. 18:48반응형
CHAPTER 3
Introduction to The Quantum Theory of Solids
3.4.2 Extension to Semiconductors
지난 글에서 우리는 3차원 상의 자유 전자(Free Electron)가 무한 전위 우물(Infinite potential well)에 존재한다고 가정할 때,
상태 밀도 함수(Density Of states Functions)에 대한 일반적인 표현에 대해 알아보았습니다.
오늘은 개념을 조금 더 확장하여 반도체에 존재하는 자유 전자의 상태 밀도 함수에 대해 알아보겠습니다.
간단합니다.
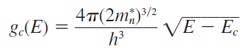
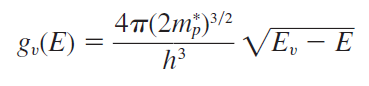
반도체 내에서 거동하는 전자의 유효 질량(Effective Mass)과 전자가 존재할 수 있는 허용 에너지 구간을 고려하면 됩니다.
즉, 우리가 앞서 살펴봤던 식(3.69)을 아래의 식(3.72)와 식(3.75)와 같이 일반화(generalization) 할 수 있습니다.



이를 에너지 밴드(Energy Band)와 연관지어 그래프를 그리면 다음과 같이 표현할 수 있습니다.

오늘은 상태 밀도 함수의 개념을 확장하여 알아보았습니다.
해당 내용은 나중에 전자 및 정공의 농도(Concentration)을 다룰 때, Fermi-Dirac Probability와 함께 다시 나올 것입니다.
다음 글에서는 수많은 전자의 거동을 효과적으로 다루기 위한 통계적 방법(Statistical Mechanics)에 대해 알아보겠습니다.
감사합니다.
반응형
'Semiconductor > Device Physics' 카테고리의 다른 글
| [물리전자] 3.5.3 페르미-디락 확률 함수 Ⅱ(The Fermi-Dirac Probability Function) (0) | 2022.11.16 |
|---|---|
| [물리전자] 3.5.2 페르미-디락 확률 함수(The Fermi-Dirac Probability Function) (0) | 2022.11.14 |
| [물리전자] 3.4.1 상태 밀도 함수(Density Of States Function) (0) | 2022.11.03 |
| [물리전자] 3.2.5 도체, 부도체, 반도체(Metal, Insulator, Semiconductor) (0) | 2022.10.31 |
| [물리전자] 3.2.4 정공(Hole)의 개념(Concept of the Hole) (0) | 2022.10.28 |
Comments